| ОГЛАВЛЕНИЕ
РАЗДЕЛ
I
1)
Цена американской денежной единицы
2) Мировой фондовый рынок
3) Хитрости Федеральной резервной системы (ФРС) США
4) Движение мировых финансов
5) Структура ВВП и структура занятости
6) Экспорт и импорт
7) Золото раздора
РАЗДЕЛ
II
1)
Цена американской денежной единицы
1
вариант
Начнем с самого сокровенного предмета современной буржуазной жизни, американского
доллара. Сколько он может в действительности стоить. Возьмем за основу
вычисления, предложенные В.Чернышевым в его работе «Революция непрерывна»
. В целом его формулы можно считать верными, как с точки зрения логики,
так и с точки зрения марксистской экономической теории. Напомним, для
расширенного капиталистического производства должно выполняться неравенство:
– I(V + M) > IIC.
Всё же вычисления в указанном источнике не совсем точные. Слишком уж ничтожна
цена доллара. Скорее всего, рискну предположить, что использована неверная
цифра материальных затрат (С), в которую вошли целиком все основные фонды
отраслей. Но в процессе производства они не потребляются целиком, а по
частям переносят на продукт свою стоимость в течение нескольких периодов.
Итак, цена доллара. Для расчета цены доллара (она же цена американской
экономики) нам понадобятся: прибыль по всем отраслям экономики (M), зарплата
по всем отраслям (V), выпуск в основных ценах по отраслям (C +V +M), валовой
внутренний продукт, или добавленная стоимость по отраслям (V + M) .
Сначала вычисляем прирост материального продукта: из вновь созданной стоимости
I подразделения материального производства (производство средств производства)
вычитаем стоимость постоянного капитала II подразделения (производство
предметов потребления) – I(V + M) – IIC.
| |
1995
г. |
1996
г. |
1997
г. |
1998
г. |
1999
г. |
2000
г. |
| I v |
729 596,0 |
749 606,0 |
786 058,0 |
844 723,0 |
893 177,0 |
959 783,0 |
| I m |
99 080,0 |
111 240,0 |
128 719,0 |
109 073,0 |
109 692,8 |
119 446,1 |
| I (v + m) |
828 676,0 |
860 846,0 |
914 777,0 |
953 796,0 |
1 002 869,8 |
1 079 229,1 |
| IIc |
745 027,0 |
774 285,0 |
800 725,0 |
829 788,0 |
855 437,0 |
893 396,0 |
| I(v + m) – IIc |
83 649,0 |
86 561,0 |
114 052,0 |
124 008,0 |
147 432,8 |
185 833,1 |
Оставшаяся
стоимость по сумме должна превысить расходы в потребляющих отраслях, то
есть в инфраструктуре (энергетика, транспорт, связь, торговля, финансы)
и нематериальном производстве (услуги, государственное управление, оборона).
В первое подразделение мы относим весь продукт сельскохозяйственной отрасли
(agriculture, forestry and fishing) и часть результата обрабатывающей
промышленности, производящей товары широкого потребления (nondurable goods).
За период с 1995 по 2000 годы ряд значений прироста материального продукта,
согласно упомянутой выше формуле, в миллионах долларов будет равен:
| |
1995 г. |
1996 г. |
1997 г. |
1998 г. |
1999 г. |
2000 г. |
| Прирост МП |
83 649,0 |
86 561,0 |
114 052,0 |
124 008,0 |
147 432,8 |
185 833,1 |
В
инфраструктуре (ИН) и нематериальном производстве (НП) новая стоимость
не создается. Здесь следует говорить только о добавлении к цене созданной
стоимости затрат на рабочую силу и доход капиталистов в этих секторах,
а также износ основных фондов, сырье, материалы и энергию в этих отраслях.
То, что подразумевается в цифрах «выпуска в основных ценах» не относится
впрямую к этим отраслям, ибо они только перемещают, преобразуют, перераспределяют
и расходуют материальный продукт первичных отраслей, материального производства
(МП).
Следовательно, если мы вычтем из «выпуска в основных ценах» (C + V + M)ИН+НП
отраслей инфраструктуры и нематериального производства выпуск в основных
ценах материального производства (C + V + M)МП мы получим материальные
затраты инфраструктуры и нематериального производства. К этим затратам
нужно прибавить заработную плату (V) и доход капиталистов (M) в этих отраслях.
Такой ход наиболее логичен: мы устанавливаем, какие затраты несет общество
на содержание инфраструктуры и нематериального производства.
Полученная сумма будет знаменателем главной дроби, в числителе которой
мы помещаем прирост материального продукта. В итоге мы получаем значение
истинной цены доллара (или американской экономики) против номинала. То
есть узнаем, каков запас прочности материального сектора экономики: прирост
материального продукта поделенный на ЗАТРАТЫ нематериальных секторов дает
нам цену экономики США и, соответственно, доллара.
2 вариант
Можно применить вариант формулы, где в знаменателе будут заработная плата,
доход капиталистов и износ основных фондов в инфраструктуре и нематериальном
производстве:

Знаменатель в данной формуле можно определить как «выпуск в основных
ценах» в отраслях инфраструктуры и нематериального производства, поскольку
в сумме есть все составляющие: С, V и M. То есть затраты капитала, зарплата
и прибыль данных отраслей. С этой суммой сопоставляется прирост материального
продукта, находящийся в числителе дроби.
3 вариант
Речь идет о несколько облегченном втором варианте, из которого удален
показатель износа капитала в потребляющих отраслях экономики.

Разумеется, мы сделали ряд допущений. Например, не учитываем, что из
прибыли во всех отраслях, как и из заработной платы, вычитаются налоги.
Однако вычитание налогов из «прибыли и зарплаты» потребляющих отраслей
не имеет экономического смысла, а ведет к росту государственного аппарата
и расходов на новые направления государственной «деятельности». Даже если
сложить налоги по всем отраслям материального производства и налоги на
граждан, то их явно не хватит, чтобы покрыть затраты на работу отраслей
инфраструктуры и сферы услуг:
Таблица 1. Налоги на прибыли и индивидуальные
налоги в экономике США, 1995-2000 гг. (млн. долл.)
| Млн.долл. |
1995 г. |
1996 г. |
1997 г. |
1998 г. |
1999 г. |
2000 г. |
| Налоги отраслей МП (прибыль) и индивидуальные налоги |
848 599,0 |
945 754,0 |
1 051 141,0 |
1 141 540,0 |
1 237 724,0 |
1 373 930,0 |
| Затраты ИН и НП |
6 460 670,9 |
6 819 046,4 |
7 288 075,1 |
7 661 315,4 |
8 153 090,0 |
8 303 647,0 |
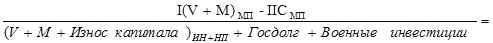
4 вариант
К разности выпуска в основных ценах отраслей инфраструктуры и сферы услуг
и материального производства мы добавляем ряд данных по государственным
инвестициям в военное производство и военное строительство, так как они
вычитаются из продукта материального производства.

5 вариант
Следующий способ расчета есть дополнение первого варианта сведениями о
государственном долге США из источника МВФ (IFS, July 2001).
6 вариант
Дополняем второй вариант цифрами государственного долга США.

Полученные цифры можно сравнить с итогом расчетов пятого варианта, потому
что в обоих случаях присутствует показатель объема государственного долга
США.
7 и 8 варианты
Последние представляют собой пятый и шестой варианты расчетов цены доллара,
к которым добавляются капиталовложения в военное производство и новое
военное строительство:

Table 2. Some indicators of U.S. economy performance
for 1995-2000 (m$)
| Млн.долл. |
1995 |
1996 |
1997 |
1998 |
1999 |
2000 |
| (Outpurt in basic prices IN + NP) – (Output МP) |
4 219 865,0 |
4 609 808,0 |
4 778 851,2 |
5 154 170,0 |
5 605 952,0 |
6 005 012,0 |
| Military investments |
53 100 |
53 100 |
53 100 |
53 100 |
53 100 |
53 100 |
| State debt |
3 698 700,0 |
3 842 100,0 |
3 866 500,0 |
3 805 700,0 |
3 711 600,0 |
3 413 200,0 |
В результате расчетов всех восьми вариантов за период с 1995 по 2000
год цена товара «доллар» по отношению к номиналу колебалась в следующих
пределах:
| |
1995 |
1996 |
1997 |
1998 |
1999 |
2000 |
| 1 version |
1,98% |
1,88% |
2,39% |
2,41% |
2,63% |
3,09% |
| 2 version |
1,29% |
1,27% |
1,56% |
1,62% |
1,81% |
2,24% |
| 3 version |
2,03% |
1,77% |
2,17% |
2,24% |
2,50% |
2,94% |
| 4 version |
0,72% |
0,73% |
1,28% |
1,38% |
1,68% |
2,21% |
| 5 version |
1,06% |
1,02% |
1,32% |
1,38% |
1,58% |
1,97% |
| 6 version |
0,82% |
0,81% |
1,02% |
1,08% |
1,24% |
1,59% |
| 7 version |
0,39% |
0,40% |
0,71% |
0,79% |
1,01% |
1,41% |
| 8 version |
0,82% |
0,81% |
1,02% |
1,08% |
1,24% |
1,58% |
Все варианты дают движение цены доллара в процентах от его номинальной
цены. Рост цены, как ни странно, обусловлен спадом в некоторых передовых
отраслях экономики США и подъемом, к примеру, в строительстве, сельском
хозяйстве за указанный период. К тому же «воздух» выходит из фондовых
активов в результате атаки в Нью-Йорке и Вашингтоне 11 сентября 2001 года.
Но пусть читателя не обманывает рост цены доллара. По большей части рост
объясняется колоссальным развитием внутреннего спроса в результате разворачивания
огромной по масштабам затрат военно-космической программы национальной
противоракетной обороны. Дополнительные заказы и объемы получают практически
все отрасли экономики, в том числе и отрасли материального производства.
Но, как известно, в системе государственных военных заказов давно уже
применяются ценовые уловки, которые помогают взвинчивать цены на «изделия»
для конечного покупателя, для правительства в лице министерства обороны.
Одно можно сказать с уверенностью, цена доллара и американского национального
хозяйства колебалась в эти годы в пределах от 0,5% до 3% за номинал. То
есть цена американской экономики была завышена (или не была компенсирована
необходимым материальным продуктом) в промежутке от 30 до 200 раз! В зависимости
от варианта расчета. О ценности доллара мы расскажем в разделе «Золото
раздора».
Данным обстоятельством можно было бы пренебречь, если бы доллар США не
господствовал в мировых финансах: 57% мировых валютных ресурсов, например
в 1997 году, составляли американские доллары. Таким образом, доллар остается
ведущим расчетным и платежным средством в мировой экономике. Доллар –
основная валюта в рабочих документах МВФ, в цифрах торговых и платежных
балансов практически всех стран. И как в этой ситуации сможет справиться
мировое хозяйство с обнаружением факта чрезвычайно завышенной цены доллара?
В этом месте я соглашусь с В.Чернышевым, что до времени спасает доллар
распространенность всемирной банковской сети, принадлежащей США и его
основным партнерам в группе промышленно развитых стран, а также система
административных и финансовых механизмов, созданная усилиями МВФ, глобального
финансового капитала, сам паразитический характер евро-американской экономики.
Угроза потенциального краха всей мировой буржуазной экономики уже присутствует
в американском долларе, цена которого так сильно завышена.
Часть 2
|
| |
|
Брадбури А. Кольцо
Революции. Санкт-Петербург: Остров льда, 2002, 240 с.
Отпечатано в типографии газеты «На страже
Родины».
Санкт-Петербург, Дворцовая площадь, 10.
Первая часть книги представляет программу информационных
действий для тех, кто относит себя к левым радикалам разного рода,
сторонникам рабочего и коммунистического движения с поправкой на
то, что мы живем в ХХI веке. Вторая часть - пример использования
принципов Кольца Революции. Пример пристального анализа мировой
экономики через слабость доллара и мировой экономики, построенной
на его основе.
Часть 2
Автор предоставил свой материал для нашего сайта
в свободное пользование. Критические замечание
и пожелания можно прислать на почтовый адрес в Санкт-Петербурге:
190000, а/я 280, Чернышеву В.М. или в Брянске: 241013, ул.Клинцовская,
25, Жмуркиной Л.А.
Адреса: |
|